Sigmapedia - The Free Online Lean Six Sigma Encyclopedia

English |  Español |  Français |  Português |  Deutsch |  中文

Correlation Coefficient

Go Back

Definition

A measure of the degree to which two quantitative variables are linearly associated. The correlation coefficient (r) Ranges between -1 (perfect negative linear association) and +1 (perfect positive linear association). A coefficient value of zero indicates that there is no linear association between the two variables (note: it does NOT rule out a non-linear relationship).

Application

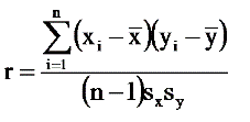
The formula shown is for Pearson's sample correlation coefficient, used to estimate the population correlation coefficient. The terms sX and sY are the sample standard deviations of X and Y respectively.

The correlation can also be calculated as Cov(X,Y)/sXsY where Cov(X,Y) is the covariance between X and Y.

The correlation coefficient does not take on the units of measurement of the data, so it can be used to compare the strength of the relationships across different datasets.

See Also

Correlation Analysis
Covariance